伟德国际(betvlctor·1949)始于英国-Macau Bellwether
首页
公司快讯
焦点新闻
关于我们
伟德国际1949始于英国简介
机构设置
公司领导
荣誉展示
团队队伍
团队介绍
教学名师
学科带头人
学科专业
机器人工程
自动化
电气工程及其自动化
智能制造工程
焊接技术与工程
机械设计制造及其自动化
教学工作
教学管理
校企合作
国际合作
专家报告
员工工作
员工管理与服务
共青团工作
志愿团工作
党建工作
理论学习
党建动态
教学条件
智能制造与机器人实践中心
现代焊接技术训练中心
电气工程与自动化实践中心
现代工程训练及加工中心
出彩员工
产业公司
首页
公司快讯
焦点新闻
关于我们
伟德国际1949始于英国简介
机构设置
公司领导
荣誉展示
团队队伍
团队介绍
教学名师
学科带头人
学科专业
机器人工程
自动化
电气工程及其自动化
智能制造工程
焊接技术与工程
机械设计制造及其自动化
教学工作
教学管理
校企合作
国际合作
专家报告
员工工作
员工管理与服务
共青团工作
志愿团工作
党建工作
理论学习
党建动态
教学条件
智能制造与机器人实践中心
现代焊接技术训练中心
电气工程与自动化实践中心
现代工程训练及加工中心
出彩员工
公告信息
公告信息
首页
>
公告信息
>
正文
>
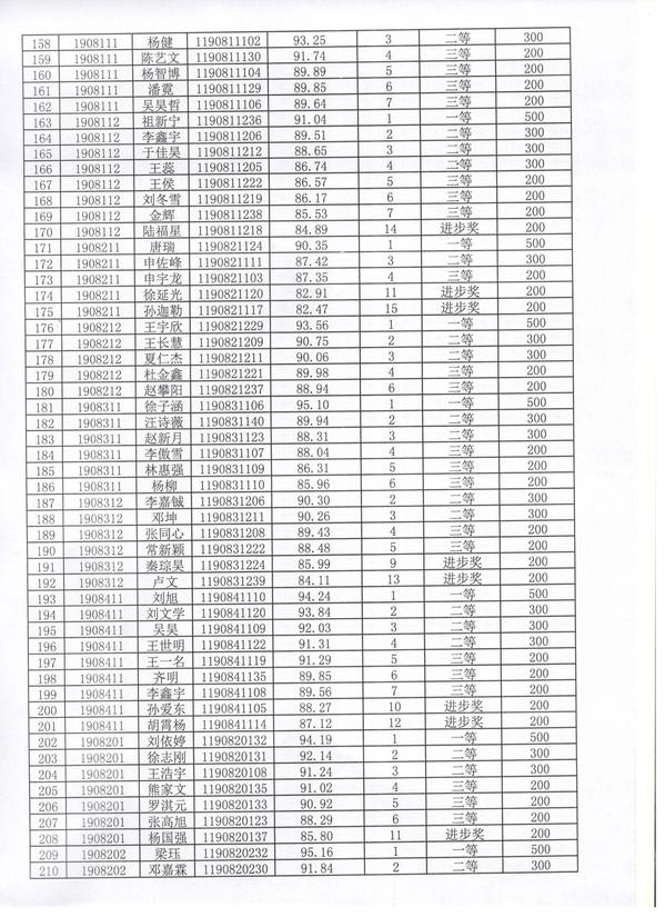
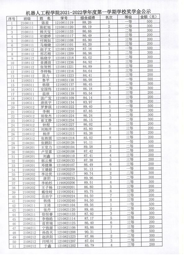
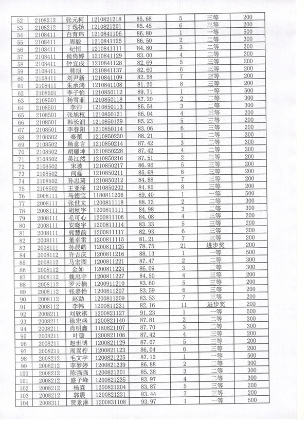
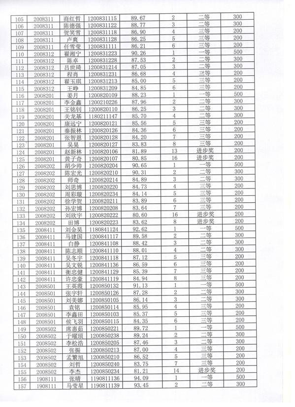
机器人工程公司2021-2022学年度第一学期公司奖学金公示
作者:朱雨婷
时间:2022-04-04
上一篇:机器人工程公司2021年度共青团工作先进集体和先进个人评选结果公示
下一篇:机电与材料工程公司2021年国家助学金受助员工信息公示